How To Determine A Function From Points - How do you calculate stationary point?

How To Determine A Function From Points - How do you calculate stationary point?. How do you graph a linear function? 👉 learn how to determine the differentiability of a function. How do you calculate stationary point? The weight is 3 for our 3 eis and 7 for ilf. Which set of points is a function?

Thus, we multiply 3 by 3 (9) and 1 by 7 (7) and, in sum (9+7), we get 16 function points. Number of external interfaces = 04. 👉 learn how to determine whether relations such as equations, graphs, ordered pairs, mapping and tables represent a function. The general rule is that for any n given points there is a function of degree whose graph goes through them. Fp = vaf * ufp.

Average Rate Of Change Mathbitsnotebook A1 Ccss Math
Average Rate Of Change Mathbitsnotebook A1 Ccss Math from mathbitsnotebook.com
Which set of points is a function? When tdi = 0, vaf = 0.65. How do you graph a linear function? How do you find the equation of a table? In other words, if we input the percent grade, the output is a specific grade point average. A function is defined as a rul. Number of user outputs = 40. The general rule is that for any n given points there is a function of degree whose graph goes through them.

Jul 01, 2016 · we are now very close to getting our estimation in function points…we only need to define the weights of the components.

In other words, if we input the percent grade, the output is a specific grade point average. How to find a function through given points? The general rule is that for any n given points there is a function of degree whose graph goes through them. Which set of points is a function? How do you graph a linear function? When tdi = 70, vaf = 1.35. Number of user enquiries = 35. Fp = vaf * ufp. When tdi = 0, vaf = 0.65. By using this website, you agree to our cookie policy. Jul 01, 2016 · we are now very close to getting our estimation in function points…we only need to define the weights of the components. Number of external interfaces = 04. A function is said to be differentiable if the derivative exists at each point in its domain.

How to find a function through given points? By using this website, you agree to our cookie policy. Number of user enquiries = 35. Number of user outputs = 40. Consider a project with the following functional units :

What Makes A Graph A Function Quora
What Makes A Graph A Function Quora from qph.fs.quoracdn.net
The general rule is that for any n given points there is a function of degree whose graph goes through them. How do you calculate stationary point? 👉 learn how to determine the differentiability of a function. Jul 01, 2016 · we are now very close to getting our estimation in function points…we only need to define the weights of the components. A function is defined as a rul. In other words, if we input the percent grade, the output is a specific grade point average. Thus, we multiply 3 by 3 (9) and 1 by 7 (7) and, in sum (9+7), we get 16 function points. Consider a project with the following functional units :

How do you find the equation of a table?

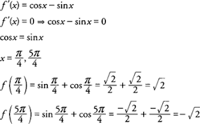
For any percent grade earned, there is an associated grade point average, so the grade point average is a function of the percent grade. How do you calculate stationary point? How do you graph a linear function? Number of user outputs = 40. A function is defined as a rul. Number of external interfaces = 04. Find f ′ (x) step 2: How do you find the equation of a table? The general rule is that for any n given points there is a function of degree whose graph goes through them. The weight is 3 for our 3 eis and 7 for ilf. A function is said to be differentiable if the derivative exists at each point in its domain. Thus, we multiply 3 by 3 (9) and 1 by 7 (7) and, in sum (9+7), we get 16 function points. Jul 01, 2016 · we are now very close to getting our estimation in function points…we only need to define the weights of the components.

How do you calculate stationary point? Number of user outputs = 40. The weight is 3 for our 3 eis and 7 for ilf. Jul 01, 2016 · we are now very close to getting our estimation in function points…we only need to define the weights of the components. By using this website, you agree to our cookie policy.

Average Rate Of Change Mathbitsnotebook A1 Ccss Math
Average Rate Of Change Mathbitsnotebook A1 Ccss Math from mathbitsnotebook.com
In other words, if we input the percent grade, the output is a specific grade point average. Number of user files = 06. When tdi = 70, vaf = 1.35. Thus, we multiply 3 by 3 (9) and 1 by 7 (7) and, in sum (9+7), we get 16 function points. How do you calculate stationary point? 👉 learn how to determine the differentiability of a function. Consider a project with the following functional units : By using this website, you agree to our cookie policy.

The weight is 3 for our 3 eis and 7 for ilf.

Vaf is then multiplied with the ufp to get the final fp count: Number of user enquiries = 35. How to find a function through given points? Jul 01, 2016 · we are now very close to getting our estimation in function points…we only need to define the weights of the components. Which set of points is a function? Fp = vaf * ufp. 👉 learn how to determine whether relations such as equations, graphs, ordered pairs, mapping and tables represent a function. Consider a project with the following functional units : How do you calculate stationary point? Number of external interfaces = 04. A function is said to be differentiable if the derivative exists at each point in its domain. How do you graph a linear function? How do you find the equation of a table?

How do you graph a linear function? how to determine a function. Vaf is then multiplied with the ufp to get the final fp count: